• Предмет: Алгебра
  • Автор: nikitakaryanov
  • Вопрос задан 8 лет назад

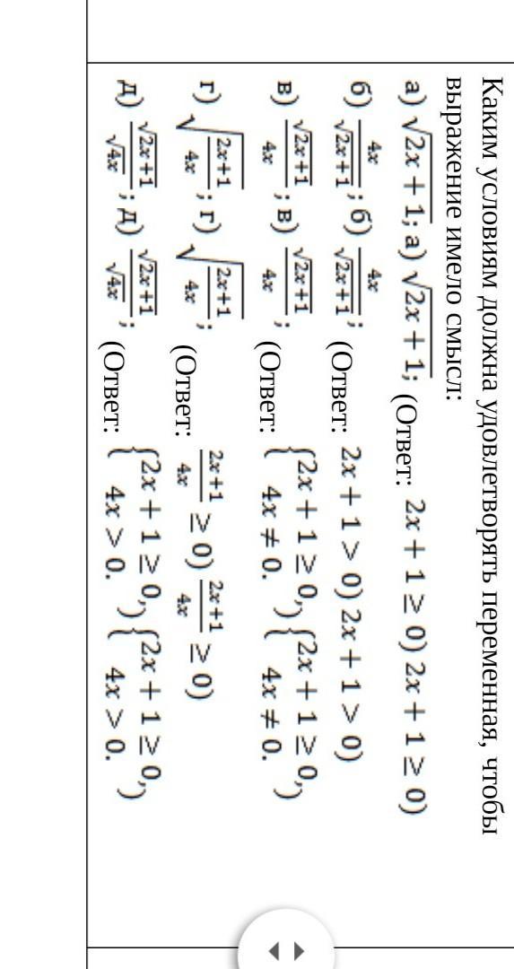
Каким условиям должна удовлетворять переменная, чтобы выражение имело смысл:​

Приложения:

Ответа на этот вопрос пока нет. Попробуйте найти его через форму поиска.

Вас заинтересует