• Предмет: Алгебра
  • Автор: timba63
  • Вопрос задан 8 лет назад

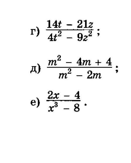
Помогите пж решить. Тут надо сокрошать дроби​

Приложения:

Ответы

Ответ дал: Аноним
0

Ответ:

г) 14t-21z/4t^2-9z^2= 14-7/4t-3z

д)m в квадрате сокращаешь с м в квадрате,потом сокращаешь -4м и -2м =-2m+4

е)2x-4/x^3-8=-4/x^2-4

Вас заинтересует