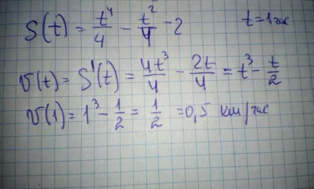
При движении тела по прямой расстояние S (в км) от начальной точки меняется по закону S(t)=t^4/4-t^2/4-2 (t-время движения в часах). Найти скорость (км/ч) тела через 1 час после начала дви
Ответы
Ответ дал:
0
Ответ во вложении.
Нужно подставить под формулу скорости данную в задаче формулу и решить её путем постановки.
Приложения:

Вас заинтересует
2 года назад
2 года назад
3 года назад
3 года назад
8 лет назад
9 лет назад