Ответы
Ответ дал:
0
Ответ дал:
0
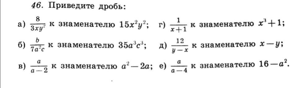
Вынести минус из знаменателя - значит, поменять при этом знаки в знаменателе на противоположные.
Приложения:

Вас заинтересует
2 года назад
2 года назад
3 года назад
8 лет назад
8 лет назад