Срочно помогите решить
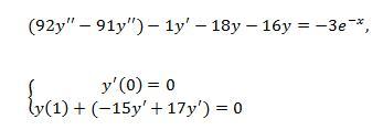
Помогите Решить краевую задачу для ОДУ второго порядка методом прогонки.
Построить график полученного решения и оценить погрешность.
Приложения:

Ответа на этот вопрос пока нет. Попробуйте найти его через форму поиска.
Вас заинтересует
2 года назад
2 года назад
3 года назад
3 года назад
8 лет назад
9 лет назад
9 лет назад