СРОЧНО!!!!!!! Шарик массой 80 г, изготовленный из материала плотностью 800 кг/м^3, всплывает в воде с глубины 50 см. Какую работу совершает архимедова сила в процессе всплытия?
Ответы
Ответ дал:
0
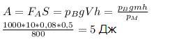
Ответ:ниже прикрепляю фото с решение
Объяснение:
Приложения:

Вас заинтересует
2 года назад
2 года назад
3 года назад
3 года назад
8 лет назад
9 лет назад