• Предмет: Химия
  • Автор: kamilislamov2013
  • Вопрос задан 8 лет назад

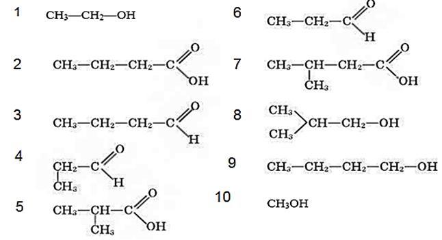
Из веществ, формулы которых приведены, выпишите гомологи, назовите классы веществ

Приложения:

Ответа на этот вопрос пока нет. Попробуйте найти его через форму поиска.

Вас заинтересует