• Предмет: Математика
  • Автор: ValakasikTop
  • Вопрос задан 8 лет назад

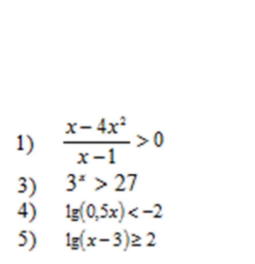
Решить неравенства, пожалуйста.

Приложения:

Ответа на этот вопрос пока нет. Попробуйте найти его через форму поиска.

Вас заинтересует