• Предмет: Литература
  • Автор: mrkapa1912
  • Вопрос задан 8 лет назад

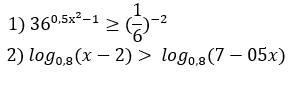
2. Решить неравенства:

Приложения:

Ответа на этот вопрос пока нет. Попробуйте найти его через форму поиска.

Вас заинтересует