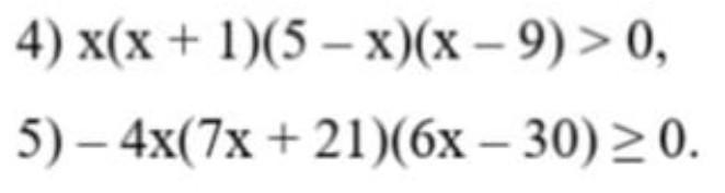
Даю 10 баллов помогите мне пожалуйста сделать 2 примера 4 и 5 решить полностью пожалуйста (рациональное неравенство)
Приложения:

Ответа на этот вопрос пока нет. Попробуйте найти его через форму поиска.
Вас заинтересует
2 года назад
2 года назад
3 года назад
3 года назад
8 лет назад