• Предмет: Алгебра
  • Автор: smirnovaa851
  • Вопрос задан 8 лет назад

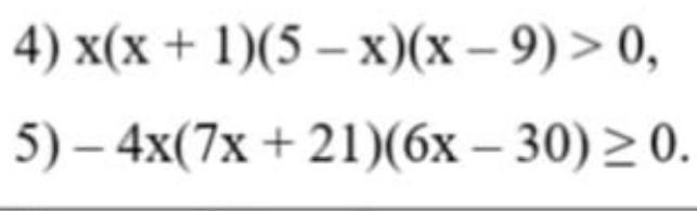
Даю 30 баллов помогите мне пожалуйста сделать алгебру 4 и 5 (рациональное неравенство) 8 класс ​

Приложения:

Ответа на этот вопрос пока нет. Попробуйте найти его через форму поиска.

Вас заинтересует