• Предмет: Алгебра
  • Автор: Bravlstar00
  • Вопрос задан 8 лет назад

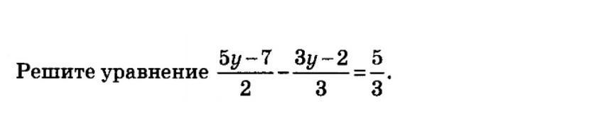
3 ۔ 5
Помогите решить, позязя
Это срочно даю 20б
و​

Приложения:

Ответы

Ответ дал: nanoonan16th
0

Ответ:

frac{5y-7}{2} -frac{3y-2}{3} =frac{5}{3} \frac{5y-7}{2} -frac{3y-2}{3} - frac{5}{3}=0\frac{3(5y-7)-2(3y-2)-10}{6} =0\frac{15y-21-6y+4-10}{6} =0\\frac{9y-27}{6} =0 |*6 \9y-27=0\9y=27\y=3

Вас заинтересует