• Предмет: Математика
  • Автор: dashaat537
  • Вопрос задан 8 лет назад

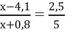
срочнооо!помогите плиз! заранее спасибо!

Приложения:

Ответа на этот вопрос пока нет. Попробуйте найти его через форму поиска.

Вас заинтересует