Ответы
Ответ дал:
0
Ответ:
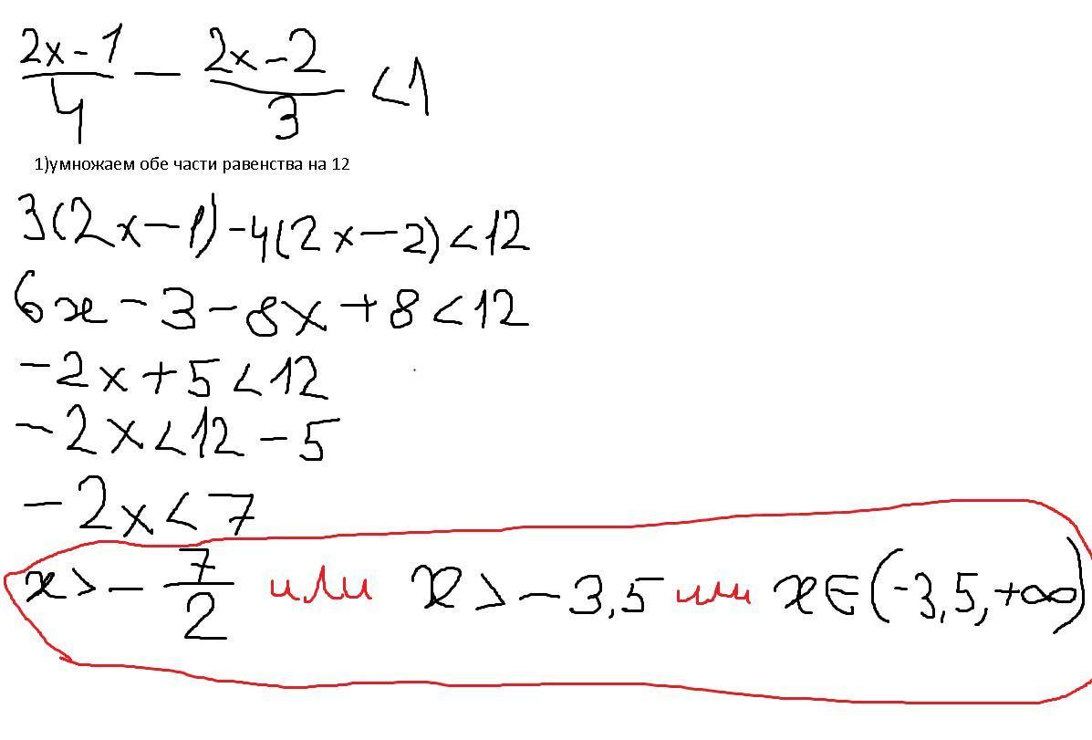
вроде так, надеюсь понятно написала.(забыла скобки написать в уравнении, но при решении они есть)
Приложения:

Ответ дал:
0
думаю чуть чуть не так, но спасибо за помощь
Вас заинтересует
2 года назад
2 года назад
3 года назад
3 года назад
8 лет назад
9 лет назад