• Предмет: Математика
  • Автор: varvarapuhkaa990
  • Вопрос задан 2 года назад

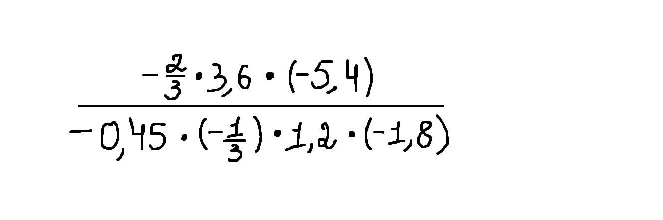
Найдите значение выражения.

Приложения:

Ответы

Ответ дал: mouse167
1

Ответ:

вроде так, надеюсь понятно, пошаговый ответ по сверху вниз по столбцам.

Приложения:

varvarapuhkaa990: СПАСИБО ОГРОМНОЕ!!! ВЫРУЧИЛИ!!! СПАСИБО!!!
mouse167: не за что)))
Вас заинтересует