• Предмет: Физика
  • Автор: dotsenkoanytka
  • Вопрос задан 2 года назад

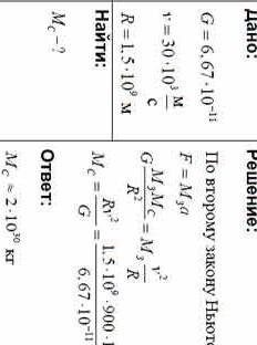
определите массу солнца считая что орбита Земли круговой если скорость вращения земли вокруг солнца 30 км / с, а радиус земной орбиты 1,5 * 108км

Ответы

Ответ дал: karamellka71
7

ответ в картинке туда смотри

Приложения:

karamellka71: можешь помочь мне с географией пожалуйста
Вас заинтересует