• Предмет: Алгебра
  • Автор: tanya14122006
  • Вопрос задан 2 года назад

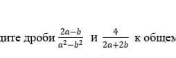
приведите к общему знаменателю умоляюю пожалуйста срочно надо очень срочно​

Приложения:

Ответы

Ответ дал: askASKERask
1

a^{2} -b^{2} =(a-b)(a+b) \\ 2a+2b=2(a+b)

(в знаменателях)

общий=2(a+b)(a-b)

((соответственно, в числителе первого ты всё умножаешь на 2, а в числителе второго- на (a-b)))

Ответ дал: minimultitabn2
1

Ответ:

\frac{4a - 2b}{2a^{2} - 2b^{2}  }  \\ и \frac{4a - 4b}{2a^{2} - 2b^{2}  }

Объяснение:

Сначала мы по формуле a^{2} -b^{2} = (a - b) * (a + b) раскладываем знаменатель в левой дроби, потом мы из знаменателя правой дроби выделяем множитель 2a + 2b = 2(a + b) и видим:

В знаменателе левой дроби есть (a - b) и (a + b), а в знаменателе правой только 2 и (a + b).

Таким образом, домножаем левую дробь на 2, а правую на (a - b), и получаем \frac{2(2a - b)}{2(a + b)(a - b)  }  \\ и \frac{4(a + b)}{2(a + b)(a - b)}. Далее раскрываем все скобки, и сжимаем по вышеупомянутой формуле быстрого умножения знаменатели, и получаем \frac{4a - 2b}{2a^{2} - 2b^{2}  }  \\ и \frac{4a - 4b}{2a^{2} - 2b^{2}  }.

Вас заинтересует