• Предмет: Алгебра
  • Автор: petroff41ek5e1
  • Вопрос задан 2 года назад

срочно помогите решить задачу !!!

Приложения:

Ответы

Ответ дал: nikakaya03
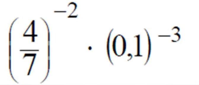
0
^-это показывается Степень


(7/4)^2*(1/10)^-3

49/16*10^3

49*10^3/16

49*1000/16

49*125/2

6125/2

petroff41ek5e1: 6125/2 это ответ?
nikakaya03: Да
Вас заинтересует