• Предмет: Математика
  • Автор: coolivan20071109
  • Вопрос задан 8 лет назад

Решите, до 15 примера пожалуйста! Даю 60 баллов!

Приложения:

Ответы

Ответ дал: tihonova1904tohonova
0

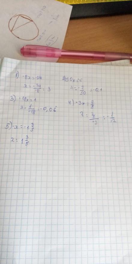
тут решено все задания

Приложения:
Ответ дал: tihonova1904tohonova
0
тебе все до 15 решить ?
Ответ дал: tihonova1904tohonova
0
просто я была занята , могу прислать ответ до 15
Ответ дал: tihonova1904tohonova
0
давай
Вас заинтересует