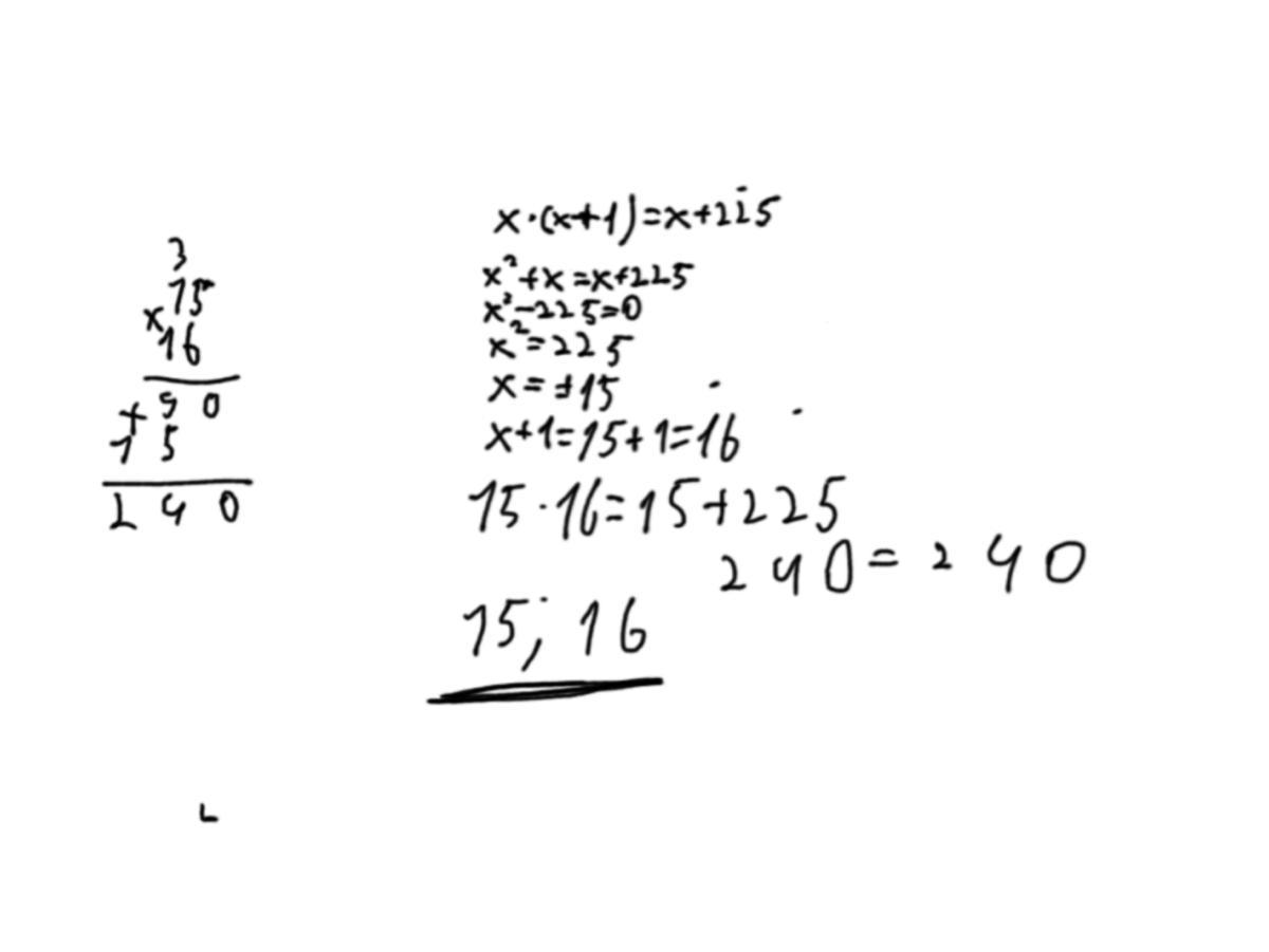
Добуток двох послідовних натуральних чисел на 224 більший від БІЛЬШОГО з них. Знайдіть ці числа.
Ответы
Ответ дал:
0
Відповідь розписав на листочку)
P.s. Відміть мою відповідь як найкращу
P.s. Відміть мою відповідь як найкращу
Приложения:

Вас заинтересует
2 года назад
2 года назад
3 года назад
8 лет назад
8 лет назад
9 лет назад