Ответы
Ответ дал:
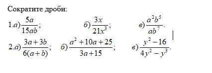
1
Мне нужно написать минимум 20 символов.
Приложения:

Joren228:
а что в в?
Вас заинтересует
1 год назад
1 год назад
1 год назад
3 года назад
3 года назад
8 лет назад