• Предмет: Математика
  • Автор: vtkrv
  • Вопрос задан 2 года назад

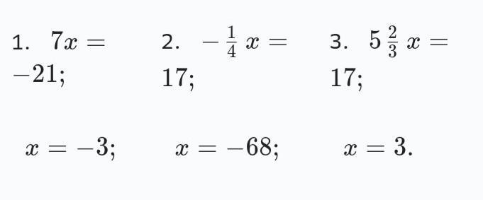
Объясни, какое действие выполнено при решении следующих уравнений, сравнив первую и вторую строчки в записях:
Какое свойство равенств при этом используется?

Приложения:

Ответы

Ответ дал: dariyavoroshnina
2

Ответ:

1)Разделить 2)Умножить 3) Умножить

Пошаговое объяснение:

1)Разделить на обе стороны на 7

2)Умножить на обе части на -4

3)Умножить на обе части на 3/17(неправильная дробь)

Вас заинтересует