• Предмет: Алгебра
  • Автор: minovaksyushashai
  • Вопрос задан 2 года назад

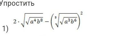
УПРОСТИТЕ ВЫРАЖЕНИЕ​

Приложения:

Ответы

Ответ дал: julia201620202016
1

Ответ:ав²

Объяснение:

Приложения:
Вас заинтересует