• Предмет: Алгебра
  • Автор: Аноним
  • Вопрос задан 2 года назад

ПОЖАЛУЙСТА РЕШИТЕ СРОЧНО!!!!!!

Приложения:

Ответы

Ответ дал: QDominus
2

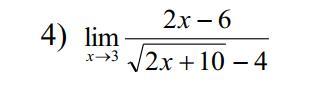
\lim_{x \to 3}  \frac{2x - 6}{ \sqrt{2x + 10} - 4 }  = \lim_{x \to 3} \frac{(2x - 6)( \sqrt{2x + 10}  + 4) }{( \sqrt{2x + 10} - 4)( \sqrt{2x + 10}  + 4) }  =  \\  =  \lim_{x \to 3} \frac{(2x - 6)( \sqrt{2x  + 10}  + 4)}{2x + 10 - 16}  = \lim_{x \to 3} \frac{(2x - 6)( \sqrt{2x + 10} + 4) }{2x - 6}  =  \\  = \lim_{x \to 3} \sqrt{2x + 10}  + 4 =  \sqrt{2 \times 3 + 10}  + 4 =  \sqrt{16}  + 4 = 4 + 4 = 8

Ответ: 8

Вас заинтересует