Помогите пожалуйста, отдаю все свои 19 баллов
Задание: Представьте с помощью формул многочлен в виде квадрата суммы или квадрата разности
(7 класс)
Приложения:

Ответы
Ответ дал:
2
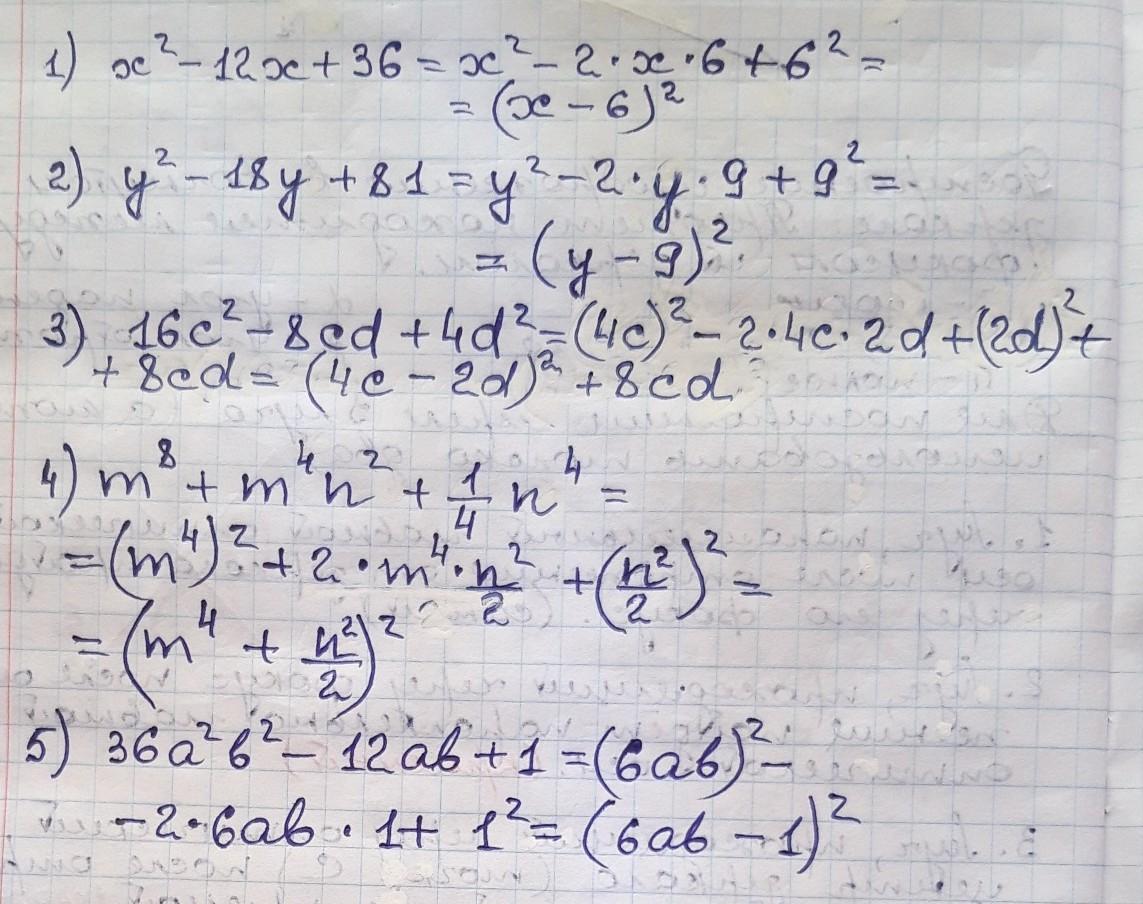
Ответ: 1) (x-6)^2
2)(y-9)^2
3) тут нет квадрата
4)(m^4 +0,5(n^2))^2
5)(6ab-1)^2
Ответ дал:
1
Ответ:
Формулы сокращенного умножения.
Приложения:

Вас заинтересует
1 год назад
1 год назад
3 года назад
3 года назад