Ответы
Ответ дал:
0
Там все есть.
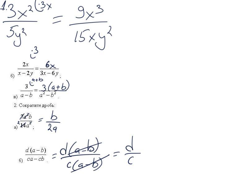
В первом номере нам нужно определить на какое число было домножен знаменатель и на это же число домножить числитель
Во втором просто разложить на множители и вычеркнуть лишнее
Приложения:

Вас заинтересует
2 года назад
2 года назад
3 года назад
3 года назад