• Предмет: Алгебра
  • Автор: dishy5058
  • Вопрос задан 2 года назад

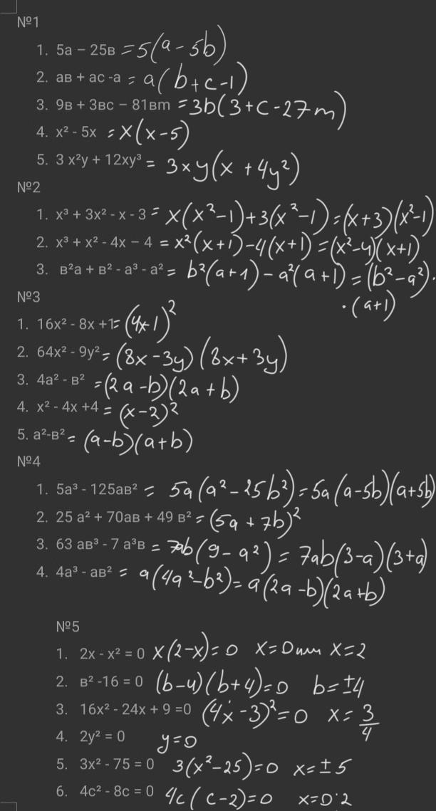
помогите пожалуйста срочно!!!​

Приложения:

Ответы

Ответ дал: sav1nav1k
0

Ответ во вложении.

Почти везде у нас задача сократить уравнения по формулам, который тут лежат на поверхности

формулы:

ab + ac = a (b+c)

a^{2} - b^{2} = (a - b)(a+b)

a^{2} +- 2ab + b^{2} = (a+-b)^{2}

Приложения:
Вас заинтересует