• Предмет: Алгебра
  • Автор: nunra334
  • Вопрос задан 2 года назад

Реши Систему Уравнений методом подстановки (просьба, дать сразу ответ)​

Приложения:

Ответы

Ответ дал: ЯгодкаЯлесная
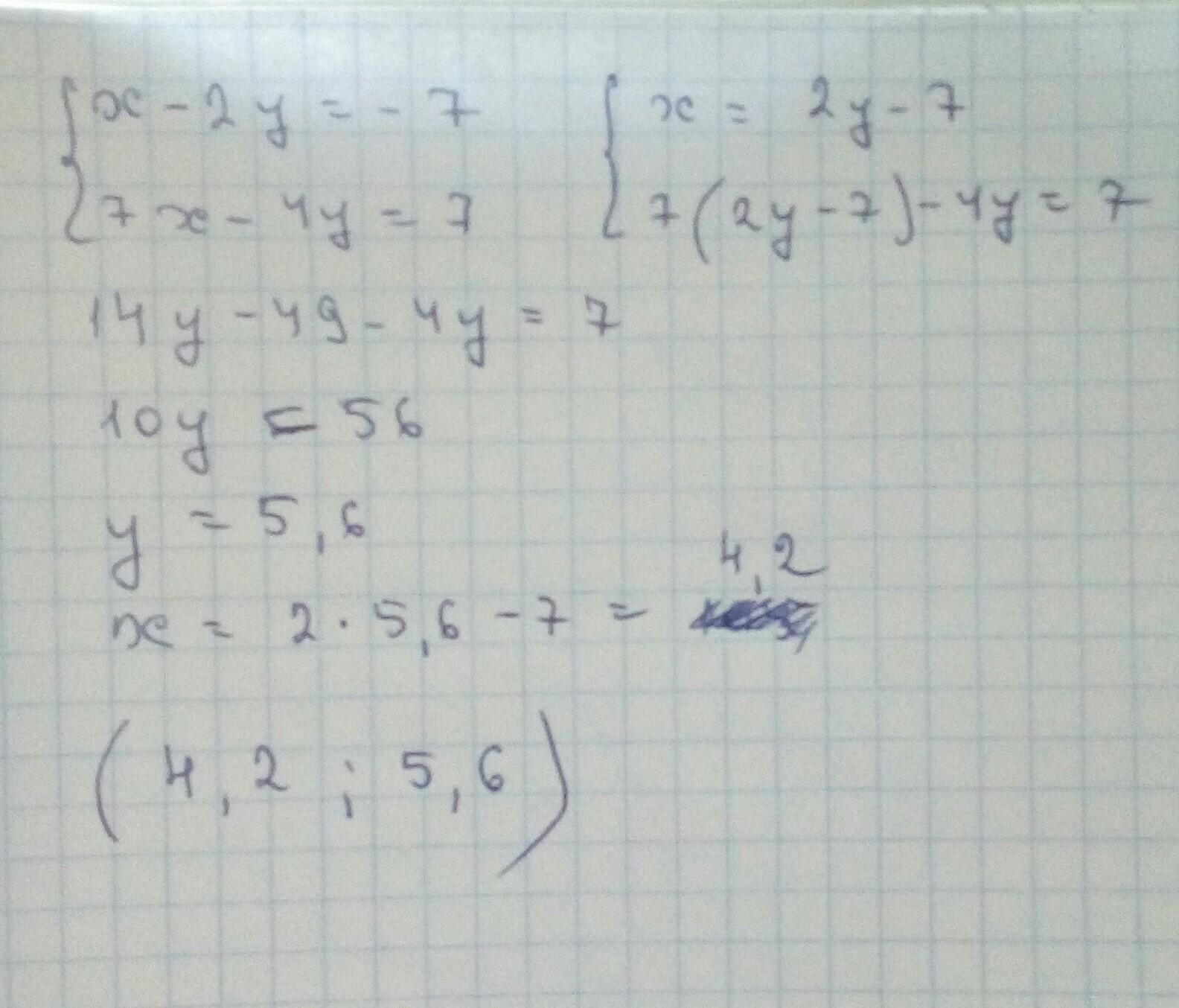
1

Ответ:

4,2; 5,6

Объяснение:

фоточка тебе в помощь ;)

Приложения:

nunra334: спасибо)
Ответ дал: Evgenia4836
1

Ответ:

(4,2; 5,6)

Объяснение:

x=-7+2y

7x-4y=7

x=-7+2y

7(-7+2y)-4y=7

x= -7+2y

-49+14y-4y=7

x= -7+2y

10y= 56

y= 5,6

x= 4,2

Вас заинтересует