• Предмет: Математика
  • Автор: sevantiben
  • Вопрос задан 8 лет назад

Срочнооооо!!!!!Даю 35

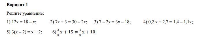
Приложения:

Ответа на этот вопрос пока нет. Попробуйте найти его через форму поиска.

Вас заинтересует