• Предмет: Математика
  • Автор: Damir6964
  • Вопрос задан 2 года назад

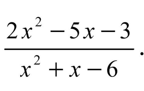
сократите дробь. Пожалуйста пошагово​

Приложения:

Ответы

Ответ дал: 123456765432za
1

Пошаговое объяснение:

(2х+1)*(х-3)

-------_--------

(х-2)*(х+3)

Вас заинтересует