• Предмет: Алгебра
  • Автор: mercovskie
  • Вопрос задан 2 года назад

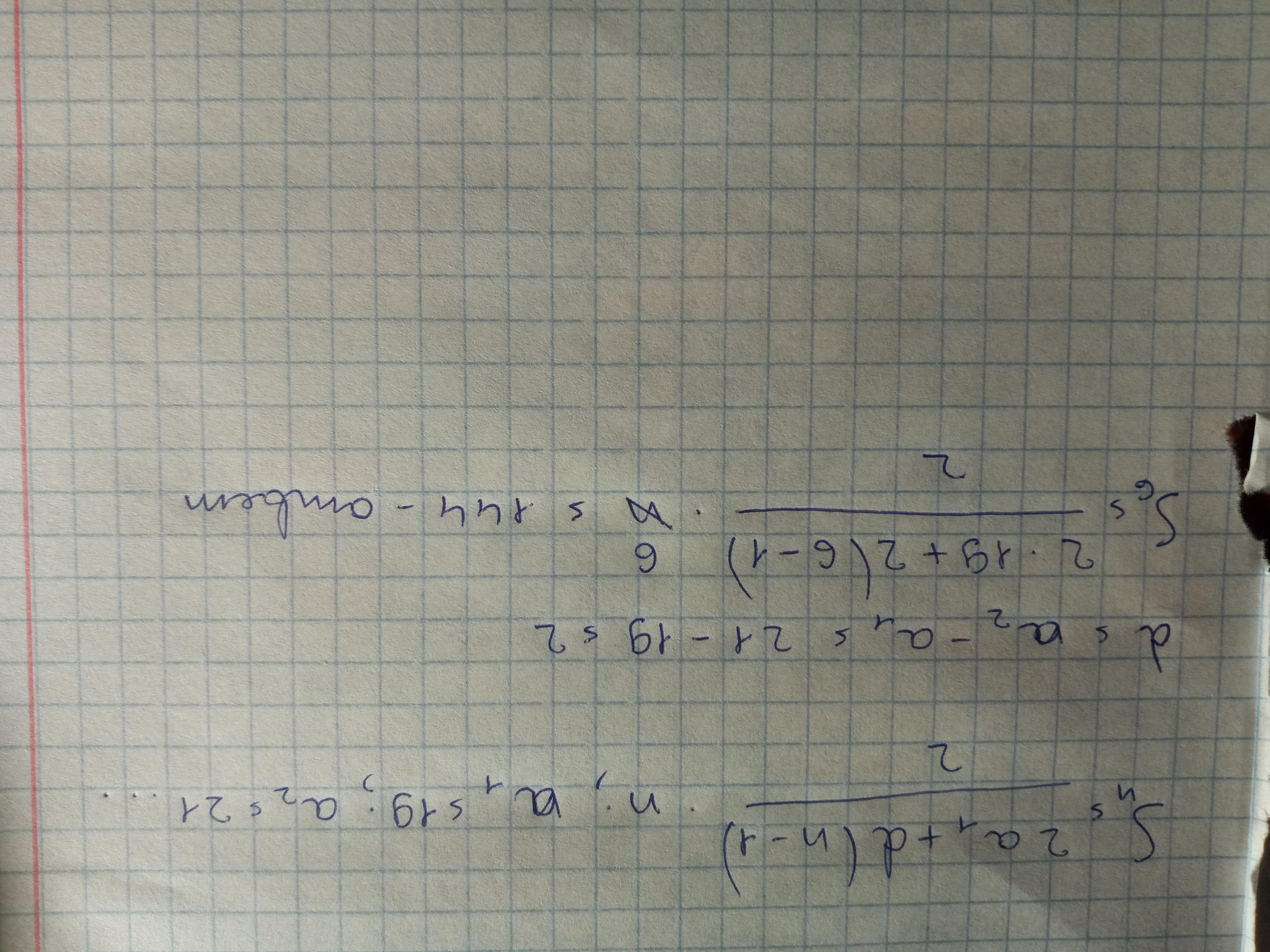
Дана арифметическая прогрессия: 19; 21; 23... Найди сумму её первых шести членов.

Ответы

Ответ дал: vikakatalypova02
0

Формулы по которым я нашла конечный результат написала на листке. Надеюсь помогла с решением

Приложения:
Вас заинтересует