• Предмет: Алгебра
  • Автор: pasharaposovgames
  • Вопрос задан 2 года назад

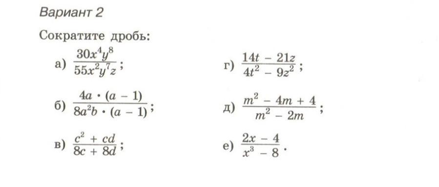
Пожалуйста помогите срочно. Сократите дробь.

Приложения:

Ответы

Ответ дал: wieslawlozickip5w1nd
1

Ответ:

Объяснение:

a) 30x^4y^8 / 55x²y^7z=  30x²y / 11z

b)4a*(a-1) / 8a²b*(a-1)= 1/2ab

c)(c²+cd) /(8c+8d)=  c(c+d) /8(c+d)=   c/8

d)(14t-21z) / (4t²-9z²) =  7(2t-3z) /(2t-3z)(2t+3z)=   7/ (2t+3z)

e)(m²-4m+4) / (m²-2m)=  (m-2)² / m(m-2) =(m-2)/m

f)(2x-4) / (x³-8)=2(x-2)/(x³-2³)= 2(x-2) /(x-2)(x²+2x+4)=

=2/ (x²+2x+4) = 2/(x+2)²

Вас заинтересует