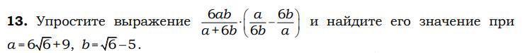
Найдите значение выражения 6ab/a+6b*(a/6b-6b/a) при=6 корень 6+9 , b=корень 6-5(Даю 20 баллов, нету в интернете, ответ должен быть 39, смотрите внимательно на b=)
Приложения:

Ответа на этот вопрос пока нет. Попробуйте найти его через форму поиска.
Вас заинтересует
2 года назад
2 года назад
3 года назад
8 лет назад
9 лет назад