Ответы
Ответ дал:
1
Ответ:
Решение во вложении.
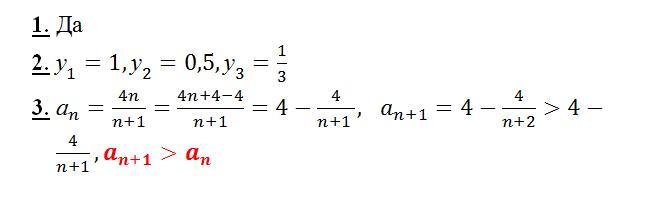
1)Соотношение верно а1>a2>a3
3)an<an+1
Приложения:

Ответ дал:
0
Ответ:
1.соотношение верно а1>а2>а3
3.аn<an+1
Вас заинтересует
1 год назад
1 год назад
1 год назад
1 год назад
3 года назад
3 года назад
8 лет назад