ПОМОГИТЕ ПОЖАЛУЙСТА! ДАЮ 50 БАЛЛОВ!
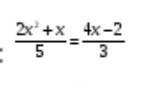
Определить значение х, при которых верно равенство...
Приложения:

Ответы
Ответ дал:
0
Ответ:
3(2x*x+x)=5(4x-2)
3(2x*x+x)-5(4x-2)=0
6x*x+3x-20x+10=0
6x*x-17x+10=0
D=b*b-4ac=289-4*60=49
Объяснение:
x1=(17+7)/12=2
x2=(17-7)/12=5/6
Вас заинтересует
1 год назад
1 год назад
1 год назад
1 год назад
3 года назад
3 года назад
8 лет назад
8 лет назад