• Предмет: Математика
  • Автор: Elizaveta2020
  • Вопрос задан 2 года назад

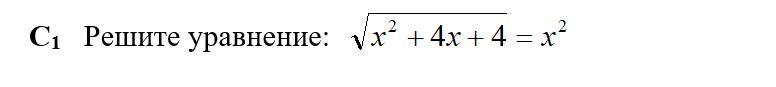
Помогите пожалуйста решить уравнение. С прописанным ОДЗ

Приложения:

Ответы

Ответ дал: gnver79
0

Ответ:

×1=-1

x2=2

!!!!!!!!!!!

Вас заинтересует