• Предмет: Алгебра
  • Автор: sashanastiav
  • Вопрос задан 2 года назад

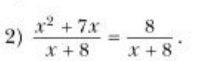
Пожалуйста помогите решить уравнение

Приложения:

Ответы

Ответ дал: artemlis2703
1

Ответ:

x1= -1; x2=8

Объяснение:

Переносим всё в одну сторону

 \frac{x {}^{2} + 7x - 8 }{x + 8}  = 0

ОДЗ: x +8 ≠ 0

x≠ -8

Решаем квадратное уравнение:

 {x}^{2}  + 7x - 8 = 0

По теореме Виета : x1= -1; x2= 8


sashanastiav: Спасибо!
Вас заинтересует