• Предмет: Физика
  • Автор: MamakaEb
  • Вопрос задан 11 лет назад

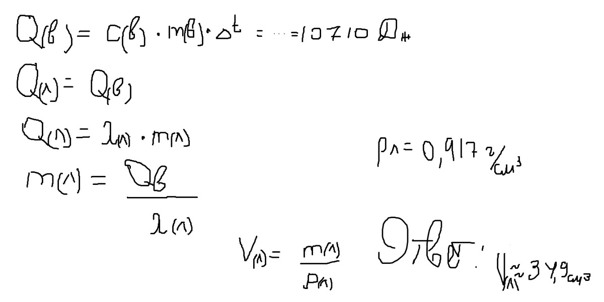
определите минимальный объем льда, взятого при 0 градусов, который должен быть добавлен в воду, масса которой 170 г, а температура 15 градусов, чтобы понизить ее температуру до 0 градусов

Ответы

Ответ дал: nailkalimov
0
ответ у меня пполучился 34,9 см^3


Приложения:
Вас заинтересует