ПОМОГИТЕ ПЖ ПЖ ПЖ ПЖ ПЖ! ВОТ условие: Знайдіть тангенс гострого кута альфа якщо сінус альфа дорівнює 0,8
Ответы
Ответ дал:
2
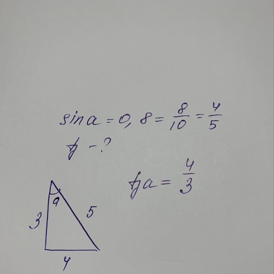
Через поямоугольный треугольник
tgA=4/3
Подробнее во вложении
tgA=4/3
Подробнее во вложении
Приложения:

Ответ дал:
1
Відповідь: .
Вас заинтересует
1 год назад
1 год назад
1 год назад
1 год назад
3 года назад
3 года назад