Ответы
Ответ дал:
0
Ответ:
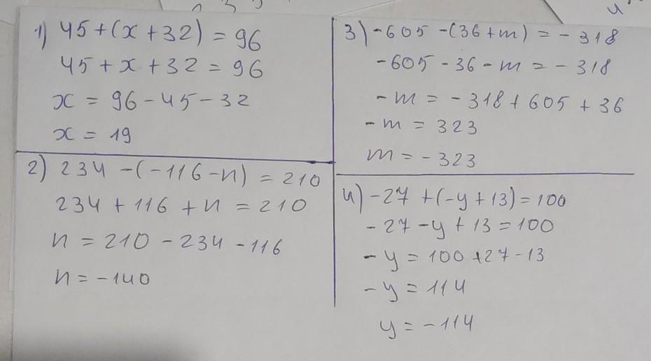
1) х=19
2) n=-140
3) m=-323
4) y=-114
Пошаговое объяснение:
1) 45+(х+32)=96
45+х+32=96
х=96-45-32
х=19
2) 234-(-116-n)=210
234+116+n=210
n=210-234-116
n=-140
3) -605-(36+m)=-318
-605-36-m=-318
-m=-318+605+36
-m=323
m=-323
4) -27+(-y+13)=100
-27-y+13=100
-y=100+27-13
-y=114
y=-114
ArtemTsukanov9iet:
первый корень 19)
Ответ дал:
2
Ответ:
19
-140
-323
-114
Пошаговое объяснение:
на фото
Приложения:

Вас заинтересует
1 год назад
1 год назад
1 год назад
3 года назад
3 года назад
8 лет назад