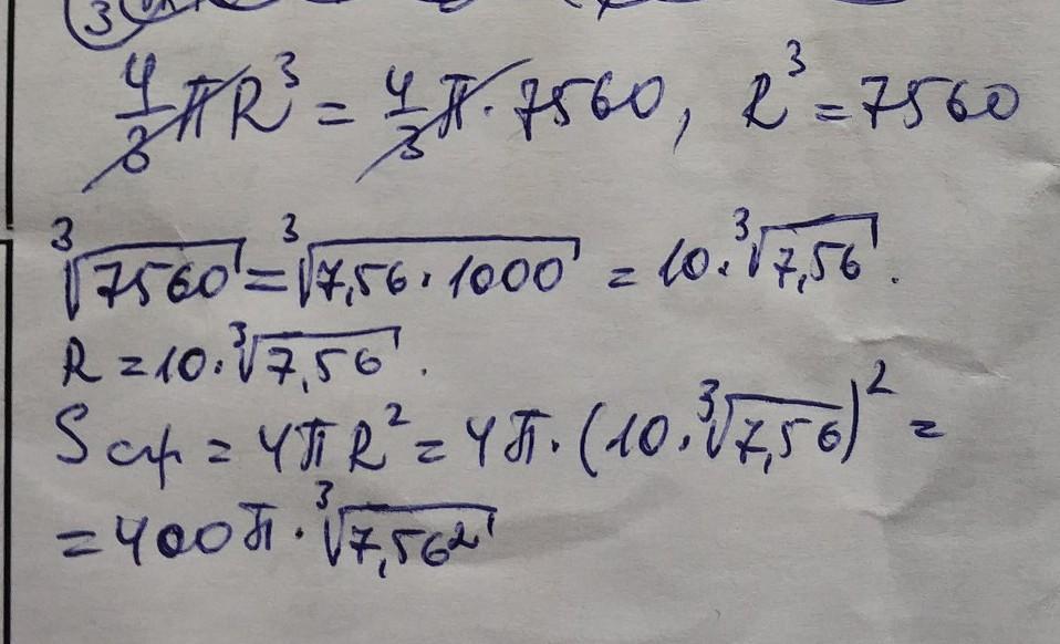
Два свинцовых шара радиусов 12 см и 18 см переплавили в один шар. Найдите:
1) площадь сферической поверхности, ограничивающей шар
2) объем полученного шара
baganaly:
Поисковике посмотрите
Ответы
Ответ дал:
2
Ответ:
V=10080π см^3
S сферы=
(кв. см)
Объяснение:
решение во вложении
Приложения:


Вас заинтересует
1 год назад
1 год назад
3 года назад
3 года назад
8 лет назад