Ответы
Ответ дал:
0
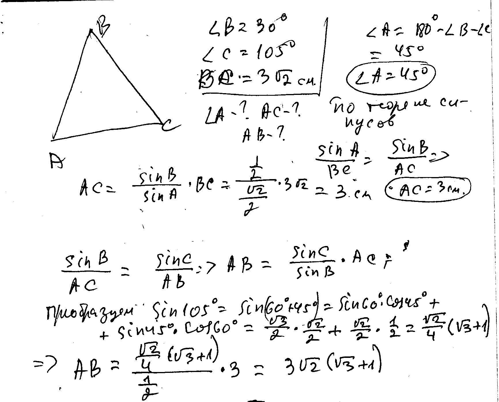
Найдите стороны и углы треугольника ABC, если угол B=30, угол C=105, BC=3 корней из 2 см.
Приложения:

Вас заинтересует
2 года назад
8 лет назад
8 лет назад
10 лет назад
10 лет назад
10 лет назад