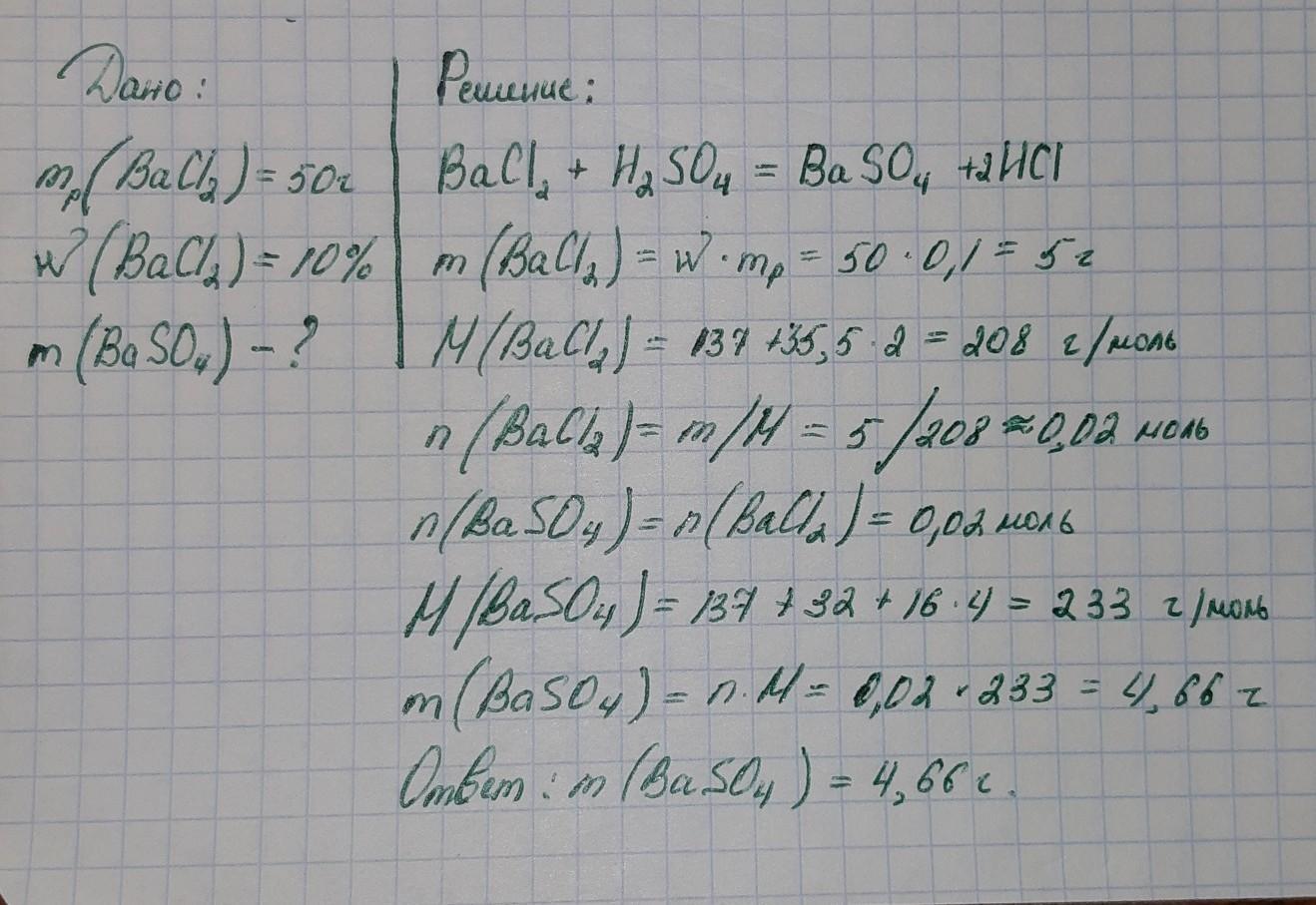
Вычислите массу осадка, выпавшего при сливании 50 г 10%-го раствора хлорида бария с избытком раствора серной кислоты.
Ответы
Ответ дал:
2
решение на фотографии :)
Приложения:

gams23:
спасибо
Вас заинтересует
1 год назад
1 год назад
1 год назад
3 года назад
3 года назад
8 лет назад