• Предмет: Алгебра
  • Автор: nsjsjsssakwi4
  • Вопрос задан 2 года назад

Пожалуйста помогите решить ​

Приложения:

Ответы

Ответ дал: hedggehog
0

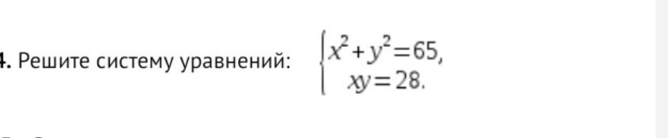
Из второго уравнения найдем Х:

х=28/у

Подставим значение икса в первое уравнение:

(28/у)²+у²=65

784/у² +у²=65

784+у⁴-65у²=0

Заменим: у²=а

а²-65а+784=0

(а-16)(а-49)=0

а1=16; а2=49

Вернёмся к замене:

у²=16

у=+-4

у²=49

у=+-7

Найдем значения Иксов:

х1=28/-4=-7

х2=28/4=7

х3=28/-7=-4

х4=28/7=4

Ответ: (х1,у1)=(-7,-4);

(х2,у2)=(7;4)

(х3,у3)=(-4;-7)

(х4,у4)=(4;7)

Вас заинтересует