• Предмет: Алгебра
  • Автор: nikita5856
  • Вопрос задан 2 года назад

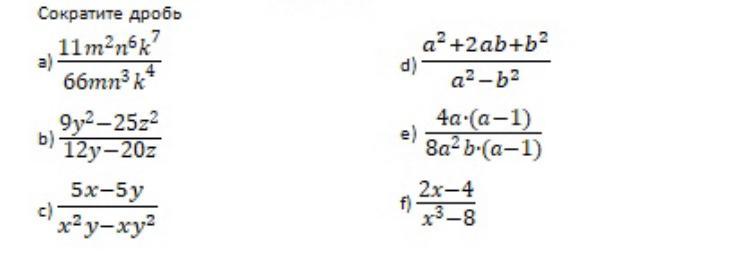
пожалуйста очень срочно!!!тема:сокращение алгебраических дробей,ДАЮ 40 БАЛЛОВ

Приложения:

Ответы

Ответ дал: milanamidmiladmiland
1

Ответ:

........................

Приложения:
Вас заинтересует