• Предмет: Алгебра
  • Автор: RBOff
  • Вопрос задан 2 года назад

Плиз!!! Помогите с квадратным уравнением)

Приложения:

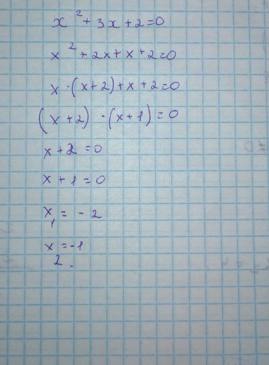
RBOff: Но по счет больший корень типо будет -1
kunduzorazbaeva273: ну да у него все верно
RBOff: Фух! Значить все правильно) Спасиб всем! Удачи вам!
maksimivchenko2004: Тебе тоже)
kunduzorazbaeva273: да я тоже забыла местами заменить во всем всем спс у него и у меня правильные ответы
RBOff: Но выбрать увы оба я не могу как лучшие
maksimivchenko2004: Это не столь важно, сайт создан то для других целей
kunduzorazbaeva273: ладно выберите его , у меня достаточно лучших
kunduzorazbaeva273: да
RBOff: 24балла из 24 вы лучшие)))

Ответы

Ответ дал: kunduzorazbaeva273
0

Ответ:

вот решение , могу помочь ещё раз

Приложения:

kunduzorazbaeva273: ответ -1,-2 я просто там показала вам решение всего доброго
RBOff: Спасибо! Все вник!
RBOff: ЯКласс очень любит точность, а я был в замешательстве(
Ответ дал: maksimivchenko2004
0

Ответ:

x₁=-1, x₂=-2

Объяснение:

x²+3x+2=0

D=3²-4*1*2=9-8=1

x₁=-3+√1/2*1=-3+1/2=-2/2=-1

x₂=-3-√1/2*1=-3-1/2=-4/2=-2

Вас заинтересует