• Предмет: Информатика
  • Автор: kusoktupogotylenya
  • Вопрос задан 2 года назад

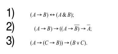
20 баллов! Постройте таблицу истинности для одного из логических выражений:

Приложения:

Ответы

Ответ дал: 25qwerty88174
1

Ответ:

для первого

Объяснение:

Приложения:
Вас заинтересует