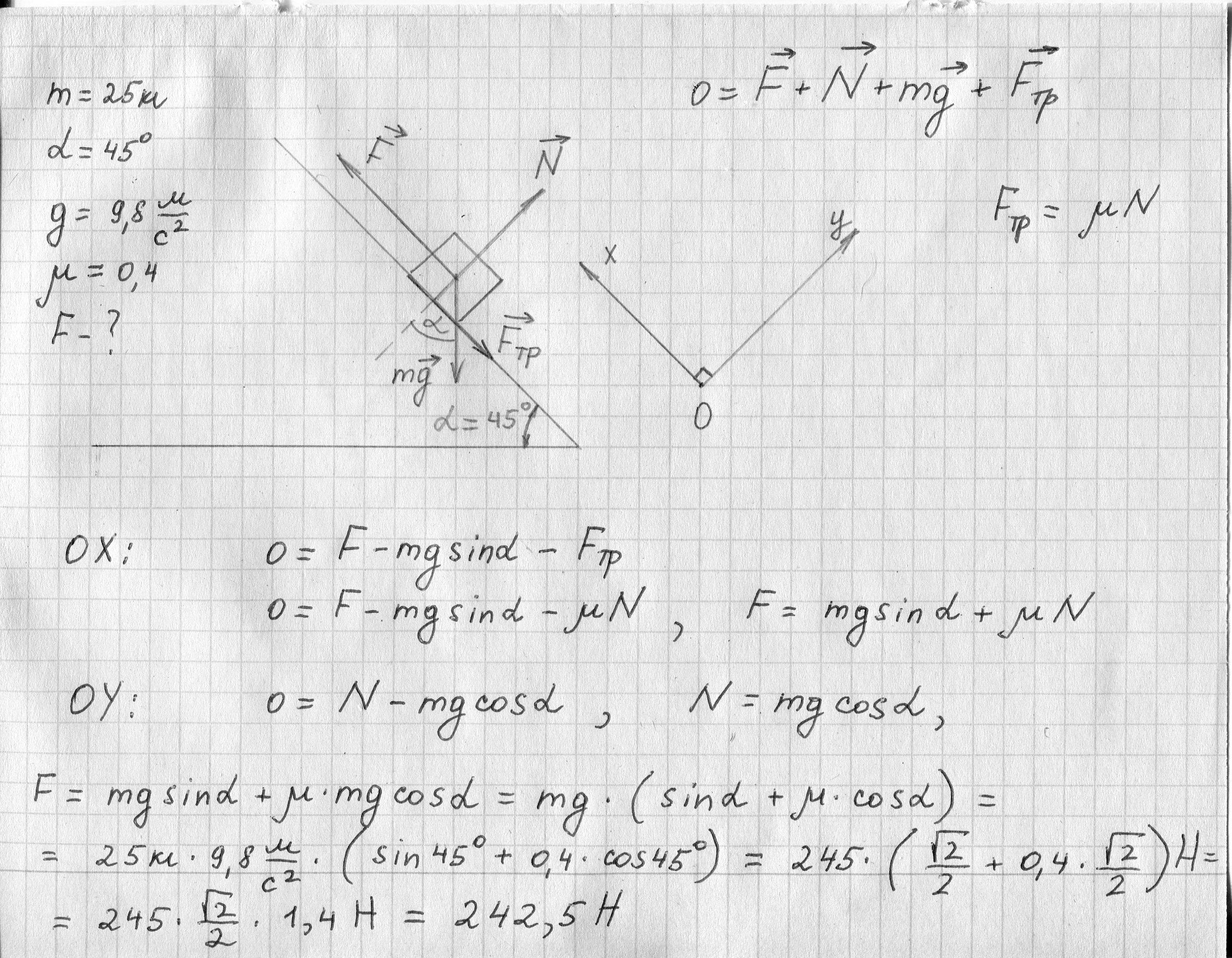
Груз массой 25 кг. равномерно перемещают вверх наклонной площадью под углом 45° до горизонта. Какую силу прилаживают к телу по направлению движения , если коэффициент трения между ним и площадью равен 0,4?
Ответы
Ответ дал:
0
я написал решение на листочке прикреплённом ===>>
Приложения:

Вас заинтересует
1 год назад
1 год назад
1 год назад
3 года назад
3 года назад
8 лет назад