• Предмет: Геометрия
  • Автор: 1BanO4ka
  • Вопрос задан 2 года назад

ПОМОГИТЕ РЕШИТЬ С/Р ПО ГЕОМЕТРИИ 8 КЛАСС. БУДУ благодарен
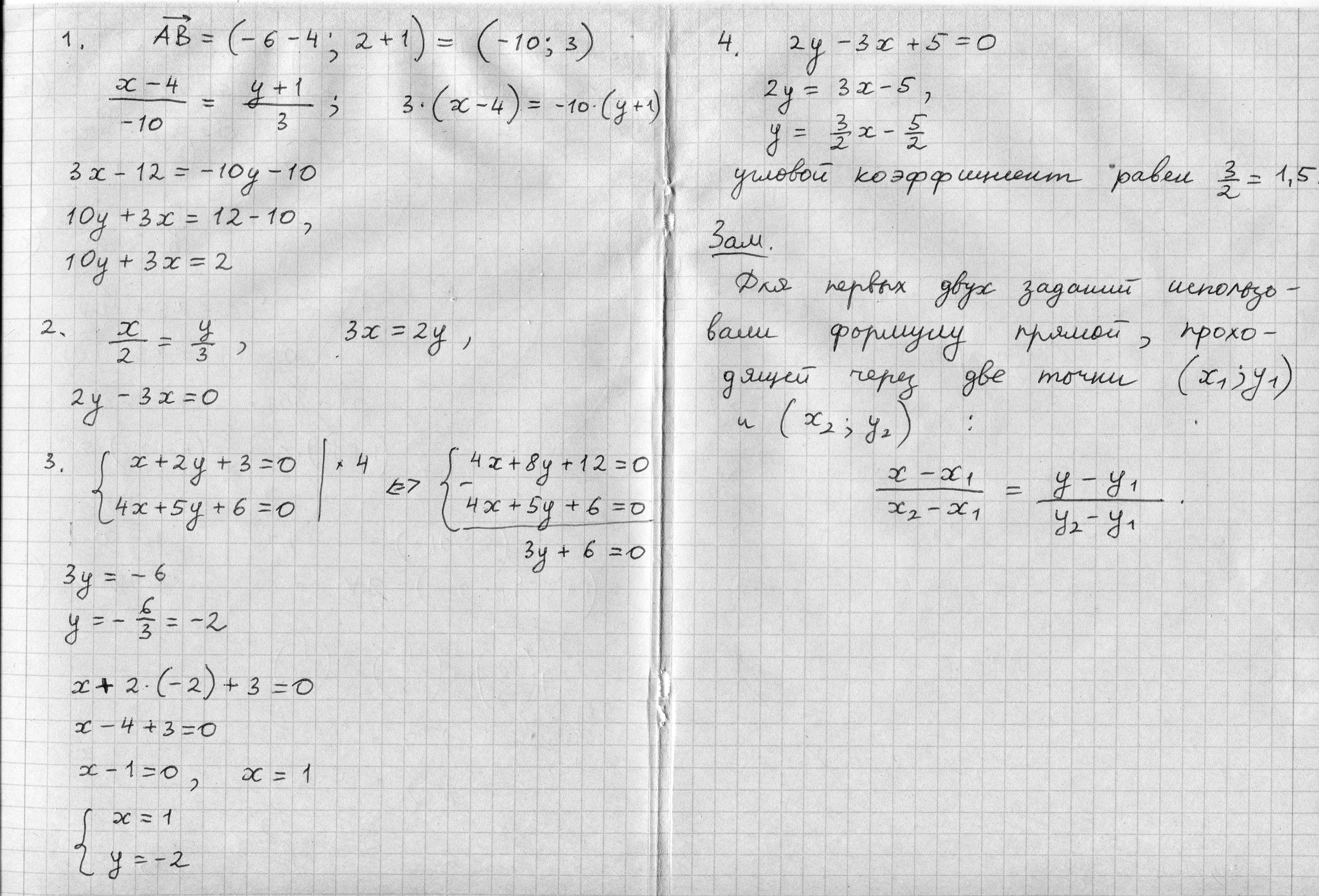
1. Составьте уравнение прямой АВ, если А(4; -1), В(-6;2)
2. Составьте уравнение прямой, проходящей через начало координат и точку (2;3)
3. Найдите точку пересечения прямых, заданных уравнениями: х+2у+3=0 и 4х+5у+6=0.
4. Найдите угловой коэффициент прямой 2у - 3х +5=0

Буду рад хоть паре решенных задач

Ответы

Ответ дал: Аноним
0

я написал решение на листочке ===>>

Приложения:
Вас заинтересует