Ответы
Ответ дал:
1
Ответ:
Смоооотриии фооооотоооо
Приложения:

Аноним:
спасибо большое, но решено не так, как надо :(
Ответ дал:
1
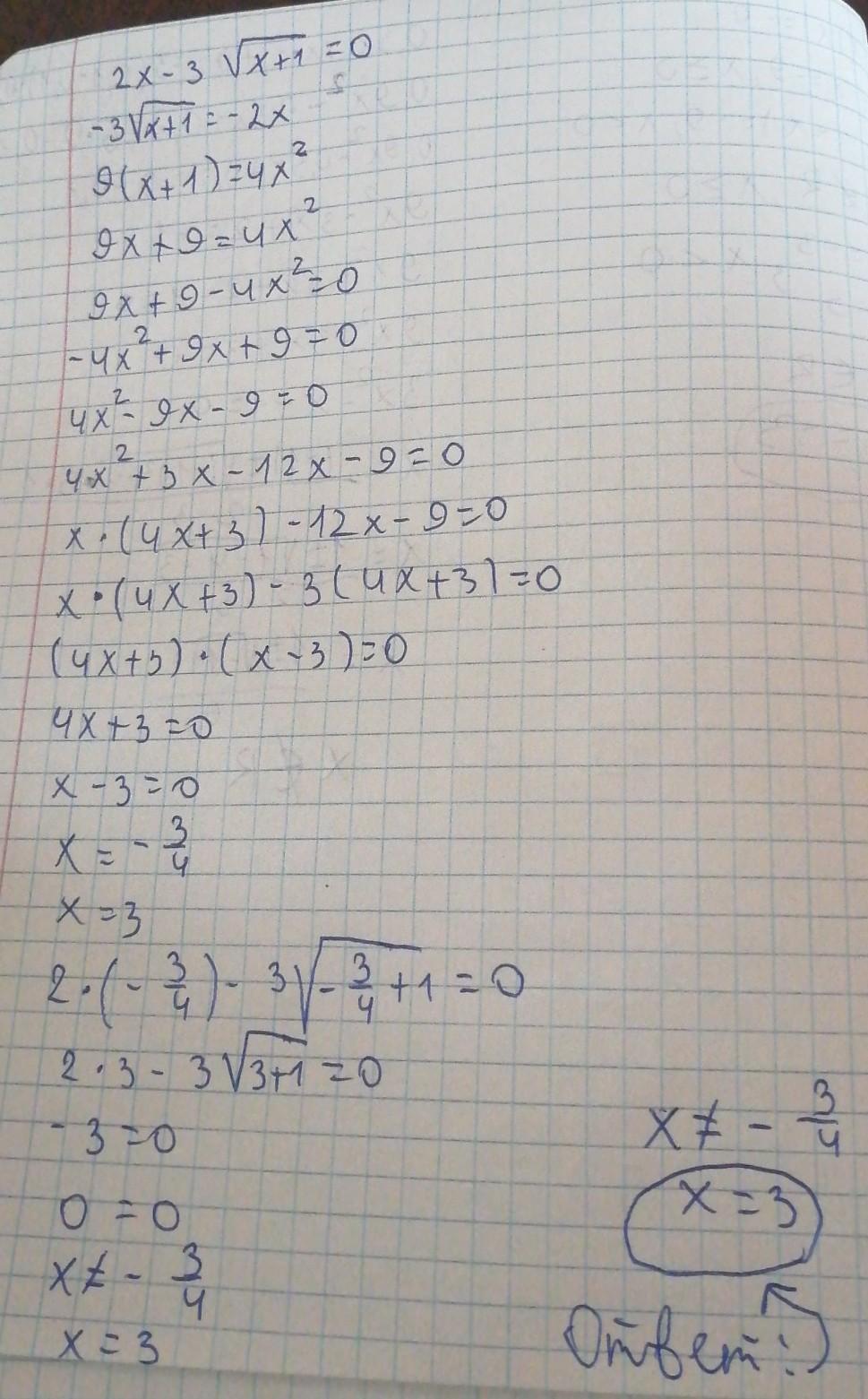
Ответ:
-3 (корень х+1)=-2
9(х+1)=4х^2
9х+9-4х^2=0
4х^2-9х-9=0
(4х+3)×(х-3)=0
4х+3=0
х-3=0
-3=0
0=0
х неравен -3/4
х=0
Ответ:х=3
Вас заинтересует
1 год назад
1 год назад
1 год назад
3 года назад
3 года назад
8 лет назад
8 лет назад